基本信息:
中文名稱 (2S)-6-氟-3,4-二氫-4-氧代-2H-1-苯并吡喃-2-甲酸
英文名稱 (2S)-6-fluoro-4-oxo-2,3-dihydrochromene-2-carboxylic acid
CAS號 118803-69-3
合成路線:
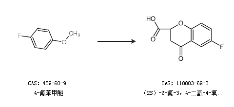
1.通過4-氟苯甲醚合成(2S)-6-氟-3,4-二氫-4-氧代-2H-1-苯并吡喃-2-甲酸

2.通過6-氟-3,4-二氫-4-氧代-2H-1-苯并吡喃-2-甲酸合成(2S)-6-氟-3,4-二氫-4-氧代-2H-1-苯并吡喃-2-甲酸

中華試劑網(wǎng)提醒 合成路線僅供參考