基本信息:
中文名稱 達(dá)帕菲尼甲磺酸鹽
英文名稱 dabrafenib mesylate
英文別名 ;UNII-B6DC89I63E;N-[3-[5-(2-aminopyrimidin-4-yl)-2-tert-butyl-1,3-thiazol-4-yl]-2-fluorophenyl]-2,6-difluorobenzenesulfonamide,methanesulfonic acid;
CAS號(hào) 1195768-06-9
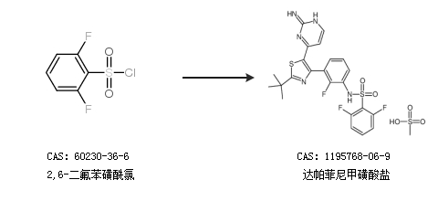
合成路線:
1.通過(guò)甲烷磺酸和達(dá)帕菲尼合成達(dá)帕菲尼甲磺酸鹽,收率約88%;

2.通過(guò)2,6-二氟苯磺酰氯合成達(dá)帕菲尼甲磺酸鹽

中華試劑網(wǎng)提醒 合成路線僅供參考