基本信息:
中文名稱 2,2,6,6-四甲基-2H-3,5,6-三氫吡喃-4-酮
中文別名 四氫-2,2,6,6-四甲基-4H-吡喃-4-酮;
英文名稱 2,2,6,6-tetramethyloxan-4-one
英文別名 Tetrahydro-2,2,6,6-tetramethylpyran-4-one;2,2,6,6-tetramethyltetrahydro-4 H-pyran-4-one;2,2,6,6-tetramethyl-2H-3,5,6-trihydropyran-4-one;RW4043;QC-3644;2,2,6,6-tetramethyltetrahydropyran-4-one;2,2,6,6-Tetramethyl-tetrahydro-pyran-4-on;
CAS號(hào) 1197-66-6
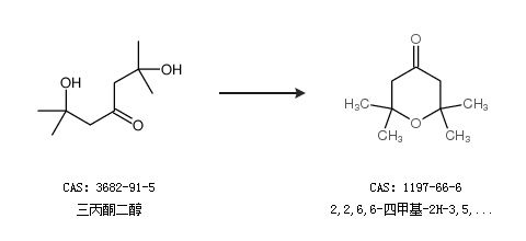
合成路線:
1.通過2,6-二甲基-2,5-庚二烯-4-酮合成2,2,6,6-四甲基-2H-3,5,6-三氫吡喃-4-酮,收率約51%;

2.通過三丙酮二醇合成2,2,6,6-四甲基-2H-3,5,6-三氫吡喃-4-酮

中華試劑網(wǎng)提醒 合成路線僅供參考