基本信息:
中文名稱 3-氨基苯磺酸
中文別名 氨基苯磺酸;間氨基苯磺酸;3-磺酸苯胺;3-胺苯磺酸;間胺酸;間苯胺磺酸;苯胺磺酸;
英文名稱 Metanilic acid
英文別名 3-Aminobenzenesulfonic Acid;Metanilic Acid;m-Anilinesulfonic Acid;3-aminobenzenesulfonic acid;3-Sulfoaniline;
CAS號 121-47-1
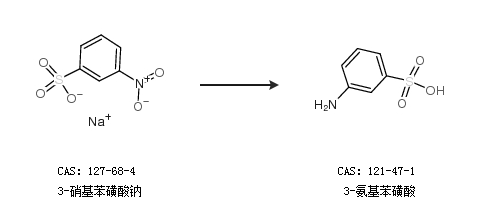
合成路線:
1.通過3-硝基苯磺酸鈉合成3-氨基苯磺酸

2.通過2-硝基苯磺酸和3-硝基苯磺酸水合物合成3-氨基苯磺酸

中華試劑網(wǎng)提醒 合成路線僅供參考