基本信息:
中文名稱 9-(1H-苯并三唑-1-基甲基)-9H-咔唑
中文別名 9-(1H-苯并三唑甲基)-9H-咔唑;
英文名稱 9-(1<i>H</i>-Benzotriazol-1-ylmethyl)-9<i>H</i>-carbazole
英文別名 9-(benzotriazol-1-ylmethyl)carbazole;9-(1H-Benzotriazol-1-ylmethyl)-9H-carbazole;
CAS號(hào) 124337-34-4
合成路線:
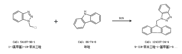
1.通過1-(氯甲基)-1H-苯并三唑和咔唑合成9-(1H-苯并三唑-1-基甲基)-9H-咔唑,收率約91%;

2.通過咔唑合成9-(1H-苯并三唑-1-基甲基)-9H-咔唑,收率約80%;

中華試劑網(wǎng)提醒 合成路線僅供參考