基本信息:
中文名稱 6-溴-2-哌嗪-1-基-喹啉
英文名稱 6-bromo-2-piperazin-1-ylquinoline
英文別名 Quinoline,6-bromo-2-(1-piperazinyl);6-bromo-2-piperazin-1-yl-quinoline;6-Bromoquipazine;
CAS號 124782-95-2
合成路線:
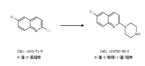
1.通過6-溴-2-氯喹啉合成6-溴-2-哌嗪-1-基-喹啉

2.通過3,4-二氫-2(1H)-喹啉酮合成6-溴-2-哌嗪-1-基-喹啉

中華試劑網(wǎng)提醒 合成路線僅供參考