基本信息:
中文名稱 5-溴異二氫吲哚
中文別名 5-溴-2,3-二氫-1H-異吲哚;5-溴異吲哚烷;
英文名稱 5-bromo-2,3-dihydro-1H-isoindole
英文別名 5-bromo-iso-indoline;1H-ISOINDOLE,5-BROMO-2,3-DIHYDRO;
CAS號 127168-84-7
合成路線:
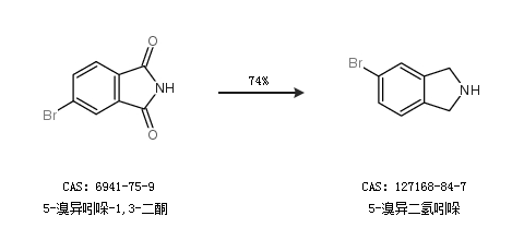
1.通過5-溴異吲哚-1,3-二酮合成5-溴異二氫吲哚,收率約74%;

2.通過5-溴異吲哚-1,3-二酮和2-(三氟甲基)苯硼酸合成5-溴異二氫吲哚,收率約34%;

中華試劑網提醒 合成路線僅供參考