基本信息:
中文名稱 奧卡哌酮
英文名稱 3-[2-[4-(6-fluoro-1,2-benzoxazol-3-yl)piperidin-1-yl]ethyl]-2,9-dimethylpyrido[1,2-a]pyrimidin-4-one
英文別名 Ocaperidonum [INN-Latin];3-[2-[4-(6-fluoro-1,2-benzisoxazol-3-yl)-1-piperidinyl]ethyl]-2,9-dimethyl-4H-pyrido[l,2-a]pyrimidin-4-one;Ocaperidone (USAN);Ocaperidona;Ocaperidone;UNII-26HUS7139V;Ocaperidonum;ocaperiodone;Ocaperidona [INN-Spanish];3-[2-[4-(6-fluoro-1,2-benzisoxazol-3-yl)-1-piperidinyl]ethyl]-2,9-dimethyl-pyrido[1,2-a]pyrimidin-4-one;3-[2-[4-(6-fluoro-1,2-benzisoxazol-3-yl)-1-piperidinyl]ethyl]-2,9-dimethyl-4H-pyrido[1,2-a]pyrimidin-4-one;
CAS號 129029-23-8
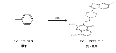
合成路線:
1.通過甲苯合成奧卡哌酮,收率約80%;

2.通過6-氟-3-哌啶-4-基-1,2-苯并異唑鹽酸鹽和4-甲基-2-戊酮合成奧卡哌酮,收率約48%;

中華試劑網(wǎng)提醒 合成路線僅供參考