基本信息:
中文名稱 1,3-二溴-5-(1,1-二甲基乙基)苯
中文別名 3,5-二溴叔丁基苯;1,3-二溴-5-叔丁基-苯;
英文名稱 1,3-Dibromo-5-tert-butylbenzene
英文別名 1,3-Br2-5-tBuC6H3;3,5-dibromo-t-butylbenzene;3,5-dibromo-1-tert-butylbenzene;5-tert-butyl-1,3-dibromobenzene;1,3-Dibromo-5-t-butylbenzene;1,3-dibromo-5-(tert-butyl)benzene;
CAS號(hào) 129316-09-2
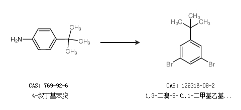
合成路線:
1.通過2,6-二溴-4-叔丁基苯胺合成1,3-二溴-5-(1,1-二甲基乙基)苯,收率約77%;

2.通過4-叔丁基苯胺合成1,3-二溴-5-(1,1-二甲基乙基)苯

中華試劑網(wǎng)提醒 合成路線僅供參考