基本信息:
中文名稱(chēng) 3,3,3-三氟丙酮酸乙酯
中文別名 三氟丙酮酸乙酯;
英文名稱(chēng) Ethyl trifluoropyruvate
英文別名 Ethyl 3,3,3-trifluoropyruvate;Ethyl 3,3,3-trifluoro-2-oxopropanoate;Ethyltrifluoropyruvate;ethyl 3,3,3-trifluoro-2-oxopropanoate;Ethyl Trifluoropyruvate;Trifluoropyruvic Acid Ethyl Ester;
CAS號(hào) 13081-18-0
合成路線:
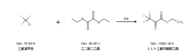
1.通過(guò)三氟溴甲烷和乙二酸二乙酯合成3,3,3-三氟丙酮酸乙酯,收率約37%;

2.通過(guò)乙醇合成3,3,3-三氟丙酮酸乙酯

中華試劑網(wǎng)提醒 合成路線僅供參考