基本信息:
中文名稱 2-氧代庚酸乙酯
英文名稱 Ethyl 2-oxoheptanoate
英文別名 2-Oxo-heptanoic acid ethyl ester;Heptanoic acid,2-oxo-,ethyl ester;1-Oxo-hexan-1-carbonsaeure-aethylester;Ethyl-2-oxo-heptanoat;2-Oxo-heptansaeure-aethylester;
CAS號 13088-50-1
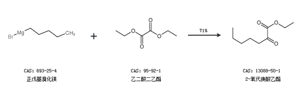
合成路線:
1.通過正戊基溴化鎂和草酰氯單乙酯合成2-氧代庚酸乙酯,收率約22%;

2.通過正戊基溴化鎂和乙二酸二乙酯合成2-氧代庚酸乙酯,收率約71%;

中華試劑網(wǎng)提醒 合成路線僅供參考