基本信息:
中文名稱 (9ci)-2-(1-甲基-1H-吡咯-2-基)-1H-苯并咪唑
英文名稱 2-(1-Methyl-1H-pyrrol-2-yl)-1H-benzimidazole
CAS號 13253-57-1
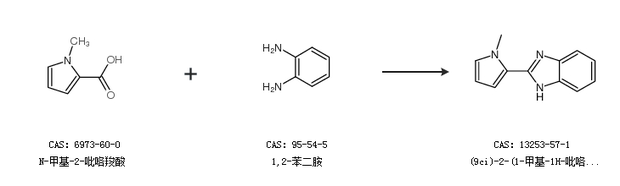
合成路線:
1.通過1,2-苯二胺合成(9ci)-2-(1-甲基-1H-吡咯-2-基)-1H-苯并咪唑,收率約71%;

2.通過N-甲基-2-吡咯羧酸和1,2-苯二胺合成(9ci)-2-(1-甲基-1H-吡咯-2-基)-1H-苯并咪唑

中華試劑網(wǎng)提醒 合成路線僅供參考