基本信息:
中文名稱 2-亞硝基-1-萘酚
中文別名 2-亞硝基-1-萘醇;β-亞硝基-α-萘酚;1-亞硝基-1-萘酚;
英文名稱 2-Nitroso-1-naphthol
英文別名 2-nitroso-1-naphtho;2-Nitrosonaphthol;1-Naphthol,2-nitroso;2-Nitroiso-1-Naphthol;2-nitroso-1-hydroxy-naphthalene;1-hydroxy-2-nitrosonaphthalene;C.I.Oxidation Base 15;nitrosonaphthol;
CAS號 132-53-6
合成路線:
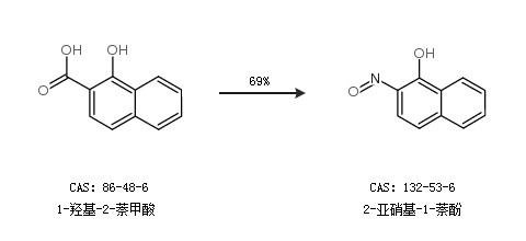
1.通過1-羥基-2-萘甲酸合成2-亞硝基-1-萘酚,收率約69%;

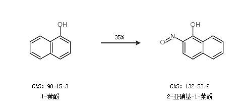
2.通過1-萘酚合成2-亞硝基-1-萘酚,收率約35%;

中華試劑網(wǎng)提醒 合成路線僅供參考