基本信息:
中文名稱 7-氯喹啉-4-甲酸
中文別名 7-氯喹啉-4-羧酸;
英文名稱 7-chloroquinoline-4-carboxylic acid
英文別名 7-Chlor-chinolin-4-carbonsaeure;7-Chlorocinchoninic acid;7-chloro-quinoline-4-carboxylic acid;7-Chloro-4-quinolinecarboxylic acid;
CAS號 13337-66-1
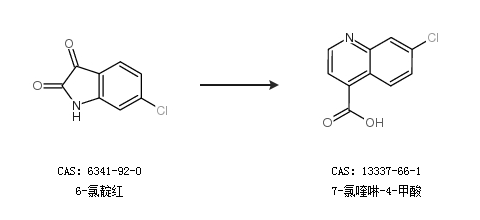
合成路線:
1.通過6-氯靛紅合成7-氯喹啉-4-甲酸

2.通過間氯苯胺鹽酸鹽合成7-氯喹啉-4-甲酸

中華試劑網(wǎng)提醒 合成路線僅供參考