基本信息:
中文名稱 Γ-氯丙基甲基二乙氧基硅烷
中文別名 γ-氯丙基甲基二乙氧基硅烷;(3-氯丙基)二乙氧基(甲基)硅烷;
英文名稱 (3-Chloropropyl)diethoxy(methyl)silane
英文別名 3-chloropropyl-diethoxy-methylsilane;(3-chloropropyl)methyl-diethoxysilane;
CAS號(hào) 13501-76-3
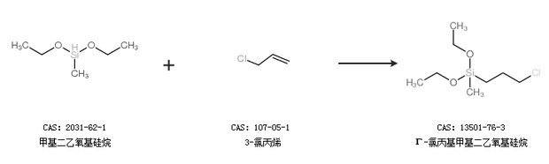
合成路線:
1.通過乙醇合成Γ-氯丙基甲基二乙氧基硅烷,收率約99%;

2.通過甲基二乙氧基硅烷和3-氯丙烯合成Γ-氯丙基甲基二乙氧基硅烷

中華試劑網(wǎng)提醒 合成路線僅供參考