基本信息:
中文名稱 4-(Boc-氨甲基)哌啶
中文別名 4-Boc-氨甲基哌啶;
英文名稱 4-(Boc-aminomethyl)piperidine
英文別名 4-(Boc-Aminomethyl)Piperidine;tert-Butyl (piperidin-4-ylmethyl)carbamate;4-(tert-Butoxycarbonylaminomethyl)piperidine;tert-butyl N-(piperidin-4-ylmethyl)carbamate;
CAS號 135632-53-0
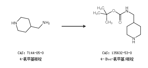
合成路線:
1.通過4-氨甲基哌啶和N-Boc-咪唑合成4-(Boc-氨甲基)哌啶,收率約68%;

2.通過4-氨甲基哌啶合成4-(Boc-氨甲基)哌啶

中華試劑網(wǎng)提醒 合成路線僅供參考