基本信息:
中文名稱 (2S,4S)-6-氟-2,3-二氫-2’,5’-二氧螺(4H-1-苯并吡喃-4,4’-咪唑烷)-2-羧酸
英文名稱 (2S,4S)-6-fluoro-2'',5''-dioxospiro[2,3-dihydrochromene-4,4''-imidazolidine]-2-carboxylic acid
CAS號 136087-84-8
合成路線:
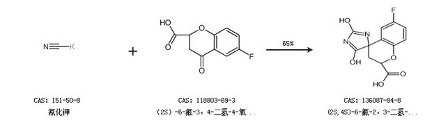
1.通過氰化鉀和(2S)-6-氟-3,4-二氫-4-氧代-2H-1-苯并吡喃-2-甲酸合成(2S,4S)-6-氟-2,3-二氫-2’,5’-二氧螺(4H-1-苯并吡喃-4,4’-咪唑烷)-2-羧酸,收率約65%;

2.通過4-氟苯甲醚合成(2S,4S)-6-氟-2,3-二氫-2’,5’-二氧螺(4H-1-苯并吡喃-4,4’-咪唑烷)-2-羧酸

中華試劑網(wǎng)提醒 合成路線僅供參考