基本信息:
中文名稱 2-碘-5-苯基噻吩
英文名稱 2-Iodo-5-phenylthiophene
英文別名 2-Jod-5-phenyl-thiophen;2-iodo-5-phenyl-thiophene;Tellurophene,2-iodo-5-phenyl;2-iodo-5-phenyl-tellurophene;
CAS號 13781-37-8
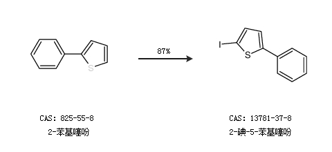
合成路線:
1.通過2-苯基噻吩合成2-碘-5-苯基噻吩,收率約87%;

2.通過溴代苯合成2-碘-5-苯基噻吩

中華試劑網(wǎng)提醒 合成路線僅供參考