基本信息:
中文名稱 DL-去甲腎上腺素
中文別名 4-(2-氨基-1-羥基乙基)-1,2-苯二酚;4-[(1R)-2-氨基-1-羥基乙基]-1,2-苯二醇;
英文名稱 noradrenaline
英文別名 [14C]-(+/-)-Norepinephrine;Racemic norepinephrine;4-[(1RS)-2-amino-1-hydroxyethyl]-1,2-benzenediol;DL-ARTERENOL;R-4-(2-amino-1-hydroxyethyl)-1,2-benzenediol;4-(1-Hydroxy-2-aminoethyl)catechol;(+/-)-Norepinephrine;DL-NOREPINEPHRINE;DL-Noradrenaline;(+)-Norepinephrin;[3H]-(+/-)-Norepinephrine;3,4-Dhydroxyphenylethanolamine;1-(3,4-Dihydroxy)phenyl-2-aminoethanol;
CAS號 138-65-8
合成路線:
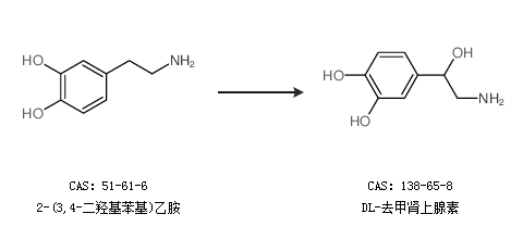
1.通過2-(3,4-二羥基苯基)乙胺合成DL-去甲腎上腺素

2.通過鄰苯二酚和氨基乙醛縮二乙醇合成DL-去甲腎上腺素

中華試劑網(wǎng)提醒 合成路線僅供參考