基本信息:
中文名稱 伊班膦酸鈉
中文別名 魯米昔布;埃本膦酸鈉鹽一水化物;1-羥基-3-(甲基戊基胺)-丙烷-1,1-雙膦酸鈉(伊班膦酸鈉);
英文名稱 Ibandronate Sodium Monohydrate
英文別名 sodium,hydroxy-[1-hydroxy-3-[methyl(pentyl)amino]-1-phosphonopropyl]phosphinate,hydrate;(1-?Hydroxy-?3-?(methylpentylamino)?propylidene)?bisphosphonic acid sodium;
CAS號 138926-19-9
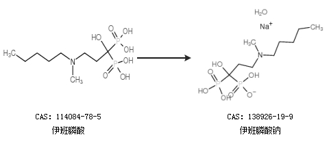
合成路線:
1.通過伊班膦酸合成伊班膦酸鈉

2.通過氫氧化鈉和伊班膦酸合成伊班膦酸鈉

中華試劑網(wǎng)提醒 合成路線僅供參考