基本信息:
中文名稱 1,2,3,4-四氫-2-甲基-7-異喹啉胺
英文名稱 2-methyl-3,4-dihydro-1H-isoquinolin-7-amine
英文別名 1,2,3,4-TETRAHYDRO-2-METHYL-7-ISOQUINOLINAMINE;2-methyl-7-amino-1,2,3,4-tetrahydroisoquinoline;7-Isoquinolinamine,1,2,3,4-tetrahydro-2-methyl;7-amino-2-methyl-1,2,3,4-tetrahydroisoquinoline;2-methyl-1,2,3,4-tetrahydro-7-isoquinolinamine;2-METHYL-1,2,3,4-TETRAHYDROISOQUINOLIN-7-AMINE;
CAS號 14097-40-6
合成路線:
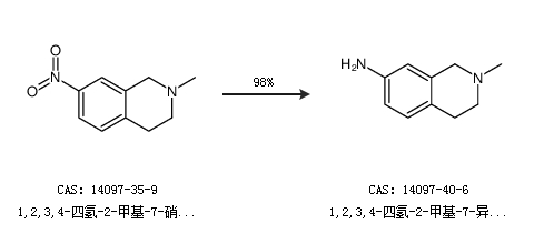
1.通過1,2,3,4-四氫-2-甲基-7-硝基異喹啉合成1,2,3,4-四氫-2-甲基-7-異喹啉胺,收率約98%;

2.通過7-氨基-1,2,3,4-四氫異喹啉甲酸叔丁酯合成1,2,3,4-四氫-2-甲基-7-異喹啉胺,收率約97%;

中華試劑網(wǎng)提醒 合成路線僅供參考