基本信息:
中文名稱(chēng) 5-喹喔啉甲醛
中文別名 喹喔啉-5-甲醛;
英文名稱(chēng) quinoxaline-5-carbaldehyde
英文別名 5-Quinoxalinecarbaldehyde;Quinoxaline-5-carboxaldehyde;5-Formylquinoxaline;5-quinoxalinecarboxaldehyde;
CAS號(hào) 141234-08-4
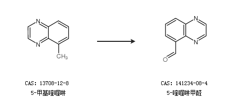
合成路線:
1.通過(guò)5-甲基喹喔啉合成5-喹喔啉甲醛

中華試劑網(wǎng)提醒 合成路線僅供參考