基本信息:
中文名稱 3-氨基巴豆酸異丙酯
中文別名 3-氨基丁烯酸異丙酯;4-胺基巴豆酸異丙酯;尼莫地平中間體;3-氨基-2-丁烯酸異丙酯;
英文名稱 Isopropyl 3-aminocrotonate
英文別名 Isopropyl 3-Aminocrotonate;3-Amino-2-butenoic Acid Isopropyl Ester;Isopropyl 3-Amino-2-butenoate;Isopropyl (2Z)-3-aminobut-2-enoate;Isopropyl 3-aminobut-2-enoate;3-Aminocrotonic Acid Isopropyl Ester;
CAS號(hào) 14205-46-0
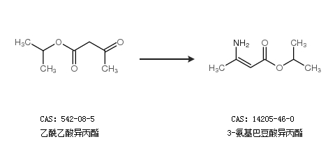
合成路線:
1.通過(guò)乙酰乙酸異丙酯合成3-氨基巴豆酸異丙酯

中華試劑網(wǎng)提醒 合成路線僅供參考