基本信息:
中文名稱(chēng) 2,5-二甲基-3-己炔-2,5-二醇
中文別名 2.5-二甲基-2.5-已炔二醇;2,5-二甲基-3-己炔-2,5-二醇,HD-M;2,5-二甲基-2,5-二羥基-3-己炔;二甲基已炔二醇;甲基己炔二醇;2,5-二甲基-2,5-己炔二醇;2,5-二甲基-3-已炔-2,5-二醇;
英文名稱(chēng) 2,5-Dimethyl-3-hexyne-2,5-diol
英文別名 2,5-Dihydroxy-2,5-dimethyl-3-hexyne;2,5-dimethylhex-3-yne-2,5-diol;2,5-Dimethylhex-3-ene-2,5-diol;
CAS號(hào) 142-30-3
合成路線:
1.通過(guò)丙酮和乙炔合成2,5-二甲基-3-己炔-2,5-二醇,收率約92%;

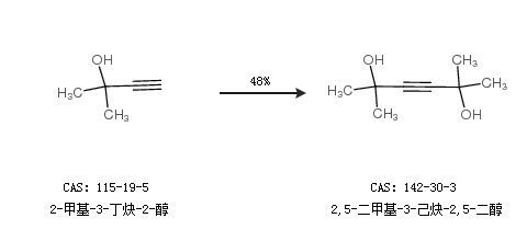
2.通過(guò)2-甲基-3-丁炔-2-醇合成2,5-二甲基-3-己炔-2,5-二醇,收率約48%;

中華試劑網(wǎng)提醒 合成路線僅供參考