基本信息:
中文名稱 3,4-二羥基噻吩-2,5-二羧酸二乙基酯二鈉鹽
中文別名 2,5-二羧酸二乙酯-3,4-二酸鈉噻吩;3,4-二羥基噻吩-2,5-二羧酸二乙酯二鈉鹽;3,4-二羥基-2,5-噻吩二甲酸 2,5-二乙酯鈉鹽;
英文名稱 disodium,2,5-bis(ethoxycarbonyl)thiophene-3,4-diolate
英文別名 2,5-dicarbethoxy-3,4-dihydroxythiophene disodium salt;diethyl 3,4-dihydroxythiophene-2,5-dicarboxylate disodium salt;3,4-Dihydroxythiophene-2,5-dicarboxylic acid diethyl ester disodium salt;disodium salt of 3,4-dihydroxythiophene-2,5-dicarboxylic acid diethyl ester;disodium 2,5-dicarbethoxy-3,4-dioxythiophene;disodium 2,5-bis(ethoxycarbonyl)thiophene-3,4-dioate;Sodium 2,5-bis(ethoxycarbonyl)thiophene-3,4-bis(olate);
CAS號 14282-56-5
合成路線:
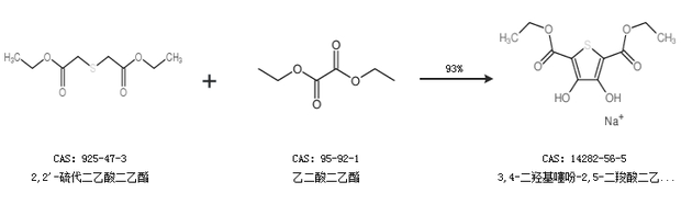
1.通過2,2''-硫代二乙酸二乙酯和乙二酸二乙酯合成3,4-二羥基噻吩-2,5-二羧酸二乙基酯二鈉鹽,收率約93%;

中華試劑網(wǎng)提醒 合成路線僅供參考