基本信息:
中文名稱 4-氯-5,6-二甲基-嘧啶-2-胺
中文別名 2-氨基-4-氯-5,6-二甲基嘧啶;
英文名稱 4-chloro-5,6-dimethylpyrimidin-2-amine
英文別名 4-Chloro-5,6-dimethyl-2-pyrimidinamine 4-Chloro-5,6-dimethylpyrimidine-2-amine;4-Chlor-5,6-dimethyl-pyrimidin-2-ylamin;2-Amino-4-chlor-5,6-dimethyl-pyrimidin;2-pyrimidinamine,4-chloro-5,6-dimethyl;4-Chloro-5,6-dimethylpyrimidin-2-amine;4-chloro-5,6-dimethyl-pyrimidin-2-ylamine;6-chloro-4,5-dimethylpyrimidine-2-ylamine;2-amino-4-chloro-5,6-dimethylpyrimidine;
CAS號(hào) 14394-61-7
合成路線:
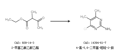
1.通過2-甲基乙酰乙酸乙酯合成4-氯-5,6-二甲基-嘧啶-2-胺

2.通過2,4-二氯-5,6-二甲基嘧啶合成4-氯-5,6-二甲基-嘧啶-2-胺

中華試劑網(wǎng)提醒 合成路線僅供參考