基本信息:
中文名稱 1,2,3,4-環(huán)丁基四羧酸四甲酯
中文別名 四甲基1,2,3,4-環(huán)丁烷四羧酸酯;
英文名稱 Tetramethyl 1,2,3,4-Cyclobutanetetracarboxylate
英文別名 1,2,3,4-Cyclobutanetetracarboxylic Acid Tetramethyl Ester;CYCLOBUTANE-1,2,3,4-TETRACARBOXYLIC ACID TETRAMETHYL ESTER;Tetramethyl 1,2,3,4-cyclobutanetetracarboxylate;TetraMethyl 1,2,3,4-Cyclobutanetetracarboxylate;tetramethyl-1,2,3,4-cyclobutanetetracarboxylate;
CAS號 14495-41-1
合成路線:
1.通過甲醇和1,2,3,4-環(huán)丁烷四羧酸合成1,2,3,4-環(huán)丁基四羧酸四甲酯,收率約99%;

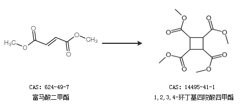
2.通過富馬酸二甲酯合成1,2,3,4-環(huán)丁基四羧酸四甲酯

中華試劑網(wǎng)提醒 合成路線僅供參考