基本信息:
中文名稱 2-氯-5-羥基甲基噻唑
英文名稱 (2-Chloro-1,3-thiazol-5-yl)methanol
英文別名 (2-chloro-1,3-thiazol-5-yl)methanol;(2-Chlorothiazol-5-yl)methanol;
CAS號 145015-15-2
合成路線:
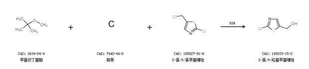
1.通過甲基叔丁基醚、碳黑和2-氯-5-氯甲基噻唑合成2-氯-5-羥基甲基噻唑,收率約93%;

2.通過2-氯-5-氯甲基噻唑合成2-氯-5-羥基甲基噻唑

中華試劑網(wǎng)提醒 合成路線僅供參考