基本信息:
中文名稱 3,3-5-(羥基甲基)-1,3-亞苯基雙(2-丙酸)二乙酯
英文名稱 ethyl 3-[3-(3-ethoxy-3-oxoprop-1-enyl)-5-(hydroxymethyl)phenyl]prop-2-enoate
英文別名 2-Propenoic acid,3,3''-[5-(hydroxymethyl)-1,3-phenylene]bis-,diethyl ester (9CI);Ethyl 3-(2-ethoxycarbonylethenyl)-5-hydroxymethylcinnamate;3,3''-[5-(HYDROXYMETHYL)-1,3-PHENYLENE]BIS(2-PROPENOIC ACID) DIETHYL ESTER;diethyl 3,3''-[5-(hydroxymethyl)benzene-1,3-diyl]bisprop-2-enoate;
CAS號(hào) 145691-66-3
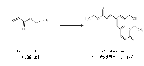
合成路線:
1.通過(guò)丙烯酸乙酯合成3,3-5-(羥基甲基)-1,3-亞苯基雙(2-丙酸)二乙酯

2.通過(guò)丙烯酸乙酯合成3,3-5-(羥基甲基)-1,3-亞苯基雙(2-丙酸)二乙酯

中華試劑網(wǎng)提醒 合成路線僅供參考