基本信息:
中文名稱 ((1R,4r)-4-氨基環(huán)己基)甲醇
英文名稱 trans 4-Aminocyclohexanemethanol
英文別名 ((1r,4r)-4-aminocyclohexyl)methanol;(trans-4-Aminocyclohexyl)methanol;trans-4-Hydroxymethylcyclohexylamin;trans-4-Aminocyclohexanemethanol;trans-4-Amino-cyclohexylcarbinol;
CAS號 1467-84-1
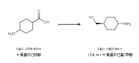
合成路線:
1.通過4-氨基環(huán)己羧酸合成((1R,4r)-4-氨基環(huán)己基)甲醇

中華試劑網提醒 合成路線僅供參考