基本信息:
中文名稱 二乙胺基甲基三乙氧基硅烷
中文別名 二乙氨基甲基三乙氧基硅烷;
英文名稱 N-Ethyl-N-((triethoxysilyl)methyl)ethanamine
英文別名 N-ethyl-N-(triethoxysilylmethyl)ethanamine;
CAS號(hào) 15180-47-9
合成路線:
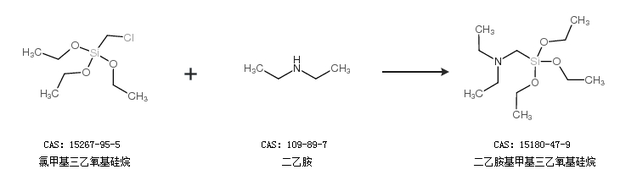
1.通過(guò)氯甲基三乙氧基硅烷和二乙胺合成二乙胺基甲基三乙氧基硅烷

2.通過(guò)乙醇、(氯甲基)三氯硅烷和二乙胺合成二乙胺基甲基三乙氧基硅烷

中華試劑網(wǎng)提醒 合成路線僅供參考