基本信息:
中文名稱 2,4-二氨基嘧啶
中文別名 2,4-氨基嘧啶;
英文名稱 2,4-Diaminopyrimidine
英文別名 2,4-diaminopyridine;pyrimidine-2,4-diyldiamine;2,4-DiaMinopyriMidine;2,6-DIAMINOPYRIMIDINE;2,3-DIPHENYL-6-NITROQUINOXALINE;DAP;diamino-pyrimidine;Pyrimidine,2,4-diamino;Pyrimidine-2,4-diamine;2,4-Pyrimidinediamine;2,4-PYRIMIDINEDIAMINE;2,4-diamino-pyrimidine;pyrimidinediamine;
CAS號(hào) 156-81-0
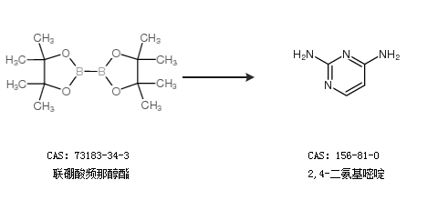
合成路線:
1.通過聯(lián)硼酸頻那醇酯合成2,4-二氨基嘧啶

2.通過反式-3-乙氧基丙烯腈和鹽酸胍合成2,4-二氨基嘧啶

中華試劑網(wǎng)提醒 合成路線僅供參考