基本信息:
中文名稱 4-氯喹啉-2-羧酸
中文別名 4-氯-2-喹啉羧酸;
英文名稱 4-Chloroquinoline-2-carboxylic acid
英文別名 4-chloroquinoline-2-carboxylicacid;4-Chlor-2-carboxychinolin-N-oxid;2-carboxy-4-chloroquinoline;4-Chloroquinaldic acid;4-chloro-2-carboxyquinoline;4-Chloro-2-quinolinecarboxylic acid;4-Chlor-chinolin-2-carbonsaeure;
CAS號 15733-82-1
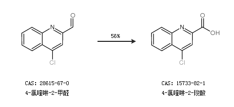
合成路線:
1.通過4-氯喹啉-2-甲醛合成4-氯喹啉-2-羧酸,收率約56%;

2.通過4-氯喹哪啶合成4-氯喹啉-2-羧酸

中華試劑網(wǎng)提醒 合成路線僅供參考