基本信息:
中文名稱 N-Boc-D-色氨醇
中文別名 N-BOC-D-色氨醇;(R)-[2-羥基-1-(1H-吲哚-3-基甲基)乙基]氨基甲酸叔丁酯;N-BOC-D-色氨醇;
英文名稱 (R)-tert-Butyl (1-hydroxy-3-(1H-indol-3-yl)propan-2-yl)carbamate
英文別名 N-Boc-D-tryptophanol;tert-butyl N-[(2R)-1-hydroxy-3-(1H-indol-3-yl)propan-2-yl]carbamate;
CAS號(hào) 158932-00-4
合成路線:
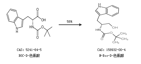
1.通過(guò)BOC-D-色氨酸合成N-Boc-D-色氨醇,收率約58%;

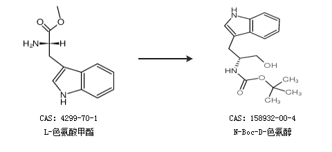
2.通過(guò)L-色氨酸甲酯合成N-Boc-D-色氨醇

中華試劑網(wǎng)提醒 合成路線僅供參考