基本信息:
中文名稱 2-溴-5-碘-3-己基噻吩
中文別名 2-溴-3-己基-5-碘噻吩;
英文名稱 2-bromo-3-hexyl-5-iodothiophene
英文別名 2-Bromo-5-iodo-3-hexylthiophene;2-Bromo-3-hexyl-5-iodothiophene;2-bromo-5-iodohexylthiophene;2-bromo-3-n-hexyl-5-iodothiophene;2-Bromo-3-hexyl-5-iodo-thiophene;2-bromo-hexyl-5-iodothiophene;Thiophene,2-bromo-3-hexyl-5-iodo;
CAS號 160096-76-4
合成路線:
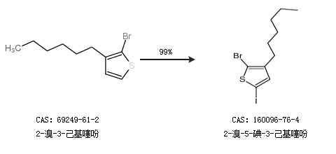
1.通過2-溴-3-己基噻吩合成2-溴-5-碘-3-己基噻吩,收率約99%;

2.通過3-己基噻吩合成2-溴-5-碘-3-己基噻吩

中華試劑網(wǎng)提醒 合成路線僅供參考