基本信息:
中文名稱 對聯(lián)苯磺酰氯
中文別名 對聯(lián)苯基磺酰氯;聯(lián)苯-4-磺酰氯;4-聯(lián)苯基磺酰氯;4-聯(lián)苯磺酰氯;
英文名稱 4-Biphenylsulfonyl Chloride
英文別名 [1,1''-Biphenyl]-4-sulfonyl chloride;4-BIPHENYL-SULFONYL CHLORIDE;4-Biphenylsulfonyl chloride;4-phenylbenzenesulfonyl chloride;
CAS號 1623-93-4
合成路線:
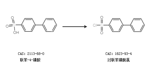
1.通過聯(lián)苯-4-磺酸合成對聯(lián)苯磺酰氯

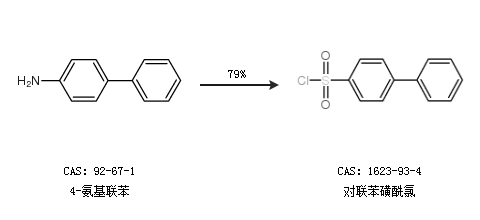
2.通過4-氨基聯(lián)苯合成對聯(lián)苯磺酰氯,收率約79%;

中華試劑網(wǎng)提醒 合成路線僅供參考