基本信息:
中文名稱 2,6-二氯嘧啶-4-甲酸
中文別名 2,4-二氯嘧啶-6-羧酸甲酯;2,6-二氯嘧啶-4-羧酸;2,6-二氯嘧啶-4-羧酸甲酯;
英文名稱 2,6-Dichloropyrimidine-4-carboxylic acid
英文別名 2,6-dichloropyrimidine-4-carboxylic acid;2,4-Dichloropyrimidine-6-carboxylic acid;
CAS號 16492-28-7
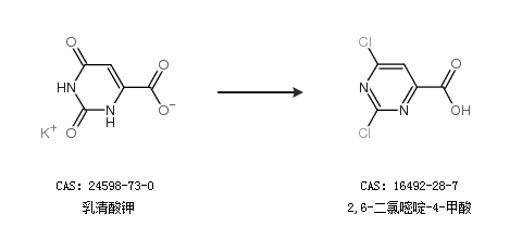
合成路線:
1.通過乳清酸合成2,6-二氯嘧啶-4-甲酸,收率約48%;

2.通過乳清酸鉀合成2,6-二氯嘧啶-4-甲酸

中華試劑網提醒 合成路線僅供參考