基本信息:
中文名稱 2,4-二硝基苯磺酰氯
中文別名 氯化磺醯基二硝基苯;氯化-2,4-二硝基苯磺酰;
英文名稱 2,4-DINITROBENZENESULFONYL CHLORIDE
英文別名 4-NO2-2-Nos-Cl;2,4-Dinitrobenzene-1-sulfonyl chloride;Benzenesulfonyl chloride,2,4-dinitro;2,4-Dinitrobenzenesulphonyl chloride;DNBS-chloride;2,4-dinitrophenylsulfonyl chloride;2,4-dinitrobenzylsulfonyl chloride;2,4-Dinitrobenzenesulfonyl chloride;2,4-dinitrobenzene-sulfonyl chloride;
CAS號(hào) 1656-44-6
合成路線:
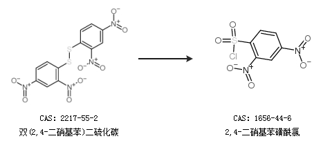
1.通過雙(2,4-二硝基苯)二硫化碳合成2,4-二硝基苯磺酰氯

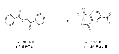
2.通過過氧化苯甲酰合成2,4-二硝基苯磺酰氯

中華試劑網(wǎng)提醒 合成路線僅供參考