基本信息:
中文名稱 4-叔丁基環(huán)己酮
中文別名 4-叔戊基環(huán)己酮;4-(1,1-二甲基丙基)環(huán)己酮;
英文名稱 4-(2-methylbutan-2-yl)cyclohexan-1-one
英文別名 4-tert-Amylcyclohexanone;EINECS 240-642-0;4-TERT-PENTYLCYCLOHEXANONE;p-t-amyl cyclohexanone;4-t-pentylcyclohexanone;4-(tert-Pentyl)cyclohexanone;4-(TERT.-PENTYL)-CYCLOHEXANONE;CYCLOHEXANONE,4-tert-PENTYL;
CAS號(hào) 16587-71-6
合成路線:
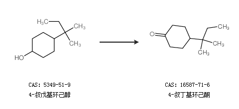
1.通過4-叔戊基環(huán)己醇合成4-叔丁基環(huán)己酮

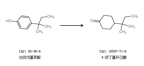
2.通過對叔戊基苯酚合成4-叔丁基環(huán)己酮

中華試劑網(wǎng)提醒 合成路線僅供參考