基本信息:
中文名稱 2-羥基-6-萘甲酸
中文別名 6-羥基-2-萘甲酸;2-萘酚-6-甲酸;2,6-酸;
英文名稱 6-Hydroxy-2-naphthoic acid
英文別名 6-Hydroxy-2-naphthoic Acid;6-hydroxynaphthalene-2-carboxylic acid;2-Naphthol-6-carboxylic Acid;
CAS號 16712-64-4
合成路線:
1.通過6-溴-2-萘酚和2-乙基己醇合成2-羥基-6-萘甲酸,收率約88%;

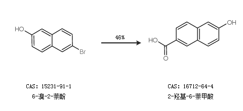
2.通過6-溴-2-萘酚合成2-羥基-6-萘甲酸,收率約46%;

中華試劑網(wǎng)提醒 合成路線僅供參考