基本信息:
中文名稱 5-Boc-氨基-2-氯吡啶-4-羧酸
中文別名 5-BOC-氨基-2-氯吡啶-4-甲酸;
英文名稱 2-chloro-5-[(2-methylpropan-2-yl)oxycarbonylamino]pyridine-4-carboxylic acid
英文別名 5-((tert-butoxycarbonyl)amino)-2-chloroisonicotinic acid;5-Boc-amino-2-chloropyridine-4-carboxylic acid;5-[(tert-butoxy)carbonylamino]-2-chloropyridine-4-carboxylic acid;5-Amino-2-chloroisonicotinic acid,5-BOC protected;5-[N-(tert-butoxycarbonyl)amino]-2-chloropyridine-4-carboxylic acid;
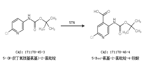
CAS號(hào) 171178-46-4
合成路線:
1.通過(guò)二氧化碳和5-(N-叔丁氧羰基氨基)-2-氯吡啶合成5-Boc-氨基-2-氯吡啶-4-羧酸,收率約68%;

2.通過(guò)5-(N-叔丁氧羰基氨基)-2-氯吡啶合成5-Boc-氨基-2-氯吡啶-4-羧酸,收率約57%;

中華試劑網(wǎng)提醒 合成路線僅供參考