基本信息:
中文名稱 3,4-二甲基噻吩并噻吩
中文別名 3,4-二甲基噻吩并[2,3-b]噻吩;3,4-二甲基并噻吩;
英文名稱 3,4-DIMETHYLTHIENO[2,3-B]THIOPHENE
英文別名 3,5-dimethyl thieno(2,3-b)thiophene;3,4-dimethylthiopheno[2,3-b]thiophene;3,4-dimethyl thieno[2,3-b]thiophene;
CAS號(hào) 175202-58-1
合成路線:
1.通過(guò)3,4-二甲基[2,3-b]-噻吩-2,5-二羧酸二乙酯合成3,4-二甲基噻吩并噻吩

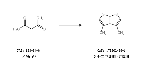
2.通過(guò)乙酰丙酮合成3,4-二甲基噻吩并噻吩

中華試劑網(wǎng)提醒 合成路線僅供參考