基本信息:
中文名稱 8-溴辛酸
英文名稱 8-Bromooctanoic acid
英文別名 Octanoic acid,8-bromo;6-bromooctanoic acid;8-BroMooctanoic Acid;8-Bromocaprylic acid;8-bromo-n-octanoic acid;8-bromo-1-octanoic acid;8-bromo-octanoic acid;
CAS號(hào) 17696-11-6
合成路線:
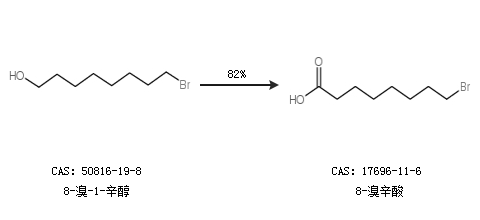
1.通過(guò)8-溴-1-辛醇合成8-溴辛酸,收率約82%;

2.通過(guò)1-溴-8-(四氫吡喃氧基)辛烷合成8-溴辛酸,收率約83%;

中華試劑網(wǎng)提醒 合成路線僅供參考