基本信息:
中文名稱 3-吡啶氨基甲酸苯酯
英文名稱 phenyl N-pyridin-3-ylcarbamate
英文別名 phenyl 3-pyridylcarbamate;pyridin-3-yl-carbamic acid phenyl ester;
CAS號(hào) 17738-06-6
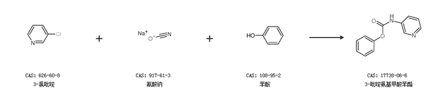
合成路線:
1.通過(guò)3-氨基吡啶和氯甲酸苯酯合成3-吡啶氨基甲酸苯酯,收率約88%;

2.通過(guò)3-氯吡啶、氰酸鈉和苯酚合成3-吡啶氨基甲酸苯酯

中華試劑網(wǎng)提醒 合成路線僅供參考