基本信息:
中文名稱 1,4-雙(氯甲基二甲基硅氧基)苯
英文名稱 chloromethyl-[4-[chloromethyl(dimethyl)silyl]oxyphenoxy]-dimethylsilane
英文別名 1,4-Bis-(chlormethyl-dimethyl-silyloxy)-benzol;1,4-Bis(chloromethyldimethylsilyloxy)benzene;1,4-bis-(chloromethyl-dimethyl-silanyloxy)-benzene;Benzene,1,4-bis[[(chloromethyl)dimethylsilyl]oxy];Silane,(p-phenylenedioxy)bis[(chloromethyl)dimethyl-(6CI,8CI);
CAS號(hào) 18057-24-4
合成路線:
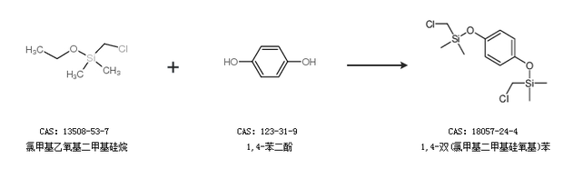
1.通過(guò)氯甲基乙氧基二甲基硅烷和1,4-苯二酚合成1,4-雙(氯甲基二甲基硅氧基)苯

中華試劑網(wǎng)提醒 合成路線僅供參考