基本信息:
中文名稱 6-溴-2-氯喹啉
中文別名 6-溴-2-氯-喹林;2-氯-6-溴喹啉;6-溴喹啉-2(1H)-酮;2-氯-6-溴喹啉;
英文名稱 6-Bromo-2-chloroquinoline
英文別名 6-Bromo-2-Chloro-Quinoline;6-bromo-2-chloroquinoline;
CAS號 1810-71-5
合成路線:
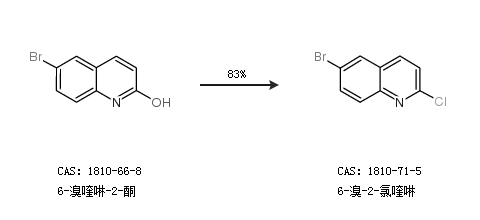
1.通過6-溴喹啉-2-酮合成6-溴-2-氯喹啉,收率約83%;

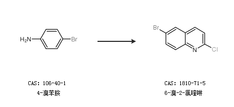
2.通過4-溴苯胺合成6-溴-2-氯喹啉

中華試劑網(wǎng)提醒 合成路線僅供參考