基本信息:
中文名稱 L-谷氨酸=gamma-肼
英文名稱 L-GLUTAMIC ACID γ-HYDRAZIDE
英文別名 G-L-GLUTAMYL HYDRAZIDE;L-GLUTAMICACIDG-HYDRAZIDE;L-Glutaminsaeure-5-hydrazid;L-2-Amino-glutarsaeure-5-hydrazid;L-Glutamic acid 5-hydrazide;
CAS號(hào) 1820-73-1
合成路線:
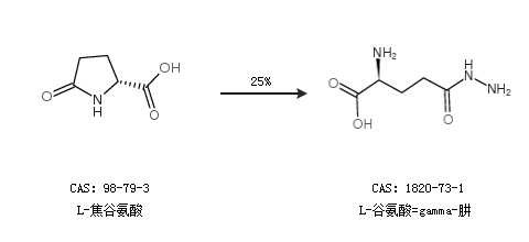
1.通過(guò)L-焦谷氨酸合成L-谷氨酸=gamma-肼,收率約25%;

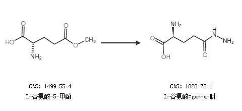
2.通過(guò)L-谷氨酸-5-甲酯合成L-谷氨酸=gamma-肼

中華試劑網(wǎng)提醒 合成路線僅供參考