基本信息:
中文名稱 2,3-二氰基-6-硝基萘
英文名稱 6-nitronaphthalene-2,3-dicarbonitrile
英文別名 D2027;2,3-Dicyano-6-nitronaphthalene;6-Nitro-2.3-dicyanonaphthalin;2,3,6-TRIFLUOROPHENACYL BROMIDE;2,3-Naphthalenedicarbonitrile,6-nitro;
CAS號(hào) 184026-06-0
合成路線:
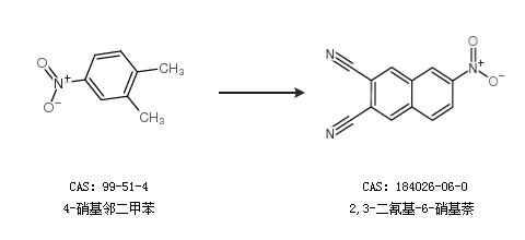
1.通過(guò)4-硝基鄰二甲苯合成2,3-二氰基-6-硝基萘

2.通過(guò)4-硝基-Alpha,Alpha,Alpha’,Alpha’-四溴鄰二甲苯和反丁烯二腈合成2,3-二氰基-6-硝基萘

中華試劑網(wǎng)提醒 合成路線僅供參考