基本信息:
中文名稱 (1S,2S)-(+)-1,2-環(huán)己烷二氨基-N,N’-雙(3,5-二丁基亞水楊基)鈷(Ⅱ)
中文別名 環(huán)己二胺雙(二叔丁基水楊烯)鈷;(1S,2S)-(+)-1,2-環(huán)己烷二氨基-N,N''-雙(3,5-二丁基亞水楊基)鈷(Ⅱ);
英文名稱 2,2''-{(1S,2S)-1,2-Cyclohexanediylbis[nitrilo(E)methylylidene]}bis [4,6-bis(2-methyl-2-propanyl)phenol] - cobalt (1:1)
英文別名 Jacobsen''s (S,S)-(salen)Co(III) catalyst;Cyclopentanecarboxylicacid,2-[[(9H-fluoren-9-ylmethoxy)carbonyl]amino]-,(1S,2S);Fmoc-(S,S)-ACPC;(S,S)-Co-salen complex;(1S,2S)-2-(9H-fluoren-9-ylmethoxycarbonyl)amino-cyclopentanecarboxylic acid;(S,S)-Fmoc-trans-2-aminocyclopentanecarboxylic acid;(S,S)-Fmoc-trans-2-aminocyclopentanecarboxylic acid-OH;(S,S)-(+)-N,N''-BIS(3,5-DI-TERT-BUTYLSALICYLIDENE)-1,2-CYCLOHEXANEDIAMINO-COBALT(II);(S,S)-iPrDuPhos;(S,S)-Jocobsen''s catalyst;Fmoc-(S,S)-2-aminocyclopentanecarboxylic acid;(-)-1,2-bis((2S,5S)-2,5-diisiopropyl phosphorano) benzene;(S,S)-Co-Salen;(1S,2S)-2-{[(9H-fluoren-9-ylmethoxy)carbonyl]amino}cyclopentane-1-carboxylic acid;(R,R)-i-Pr-DuPhos;1,2-bis(2,5-diisopropylphospholano)benzene;(S,S)-Fmoc-ACPC-OH;(S,S)-(salen)Co(II);(S,S)-(-)-N-N''-bis(3,5-di-tert-butylsalicylidine)-1,2-cyclohexanediaminocobalt-II;
CAS號(hào) 188264-84-8
合成路線:
1.通過乙酸鈷和(S,S)-(+)-N,N′-雙(3,5-二-叔丁基亞水楊基)-1,2-環(huán)已二胺合成(1S,2S)-(+)-1,2-環(huán)己烷二氨基-N,N’-雙(3,5-二丁基亞水楊基)鈷(Ⅱ),收率約97%;

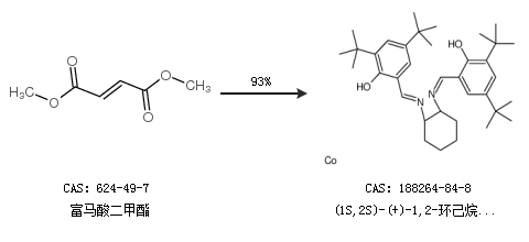
2.通過富馬酸二甲酯合成(1S,2S)-(+)-1,2-環(huán)己烷二氨基-N,N’-雙(3,5-二丁基亞水楊基)鈷(Ⅱ),收率約93%;

中華試劑網(wǎng)提醒 合成路線僅供參考