基本信息:
中文名稱 5-氯-2,4,6-三氟間苯二甲腈
中文別名 5-氯-2,4,6-三氟-1,3-二氰基苯;5-氯-2,4,6-三氟間苯二腈;
英文名稱 5-chloro-2,4,6-trifluorobenzene-1,3-dicarbonitrile
英文別名 5-Chloro-2,4,6-Trifluoro-1,3-Dicyanobenzene;5-chloro-2,4,6-trifluoro-isophthalodinitrile;2,4,6-trifluoro-5-chloroisophthalonitrile;5-Chlor-2.4.6-trifluor-isophthalonitril;5-chloro-2,4,6-trifluoroisophthalonitrile;1-chloro-3,5-dicyano-2,4,6-trifluoro-benzene;5-chloro-2,4,6-trifluoro-1,3-phenylene dicyanide;
CAS號 1897-50-3
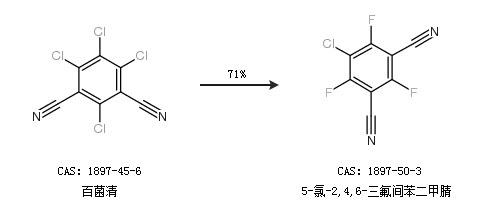
合成路線:
1.通過百菌清合成5-氯-2,4,6-三氟間苯二甲腈,收率約85%;

2.通過百菌清合成5-氯-2,4,6-三氟間苯二甲腈,收率約71%;

中華試劑網(wǎng)提醒 合成路線僅供參考